Svet
1559 ogledov

99,9-odstotno uspešna formula za lep božič

Božič družina
Si želite zagotoviti, da boste božič preživeli v lepem vzdušju? Matematiki so razvili formulo, ki z 99,9-odstotno natančnostjo razkriva, kaj morate storiti.

Ne, ni šala. V Veliki Britaniji sta si matematičara zadala cilj izpeljati formulo, ki bo zagotavljala perfekten božični dan. Čeprav v formuli nastopa tudi britanska kraljica, jo je mogoče zlahka aktualizirati za slovenske domove.

Kompleksna enačba se namreč zanaša na tri zelo enostavna pravila: ne uporabljajte mobitelov, ne igrajte računalniških iger in ne prižgite televizije.

Strokovnjaki za psihologijo trdijo, da buljenje v tehnične naprave za dlje časa zelo slabo vpliva na pogovor v družini in naredi tako poseben dan, kot je božič, za čisto običajnega. Namesto tega bi morali vsi v družini poskrbeti za "harmonično in mirno vzdušje", na podlagi katerega bodo lahko preživeli lep božič. 

Formula | Avtor: Amazon Amazon

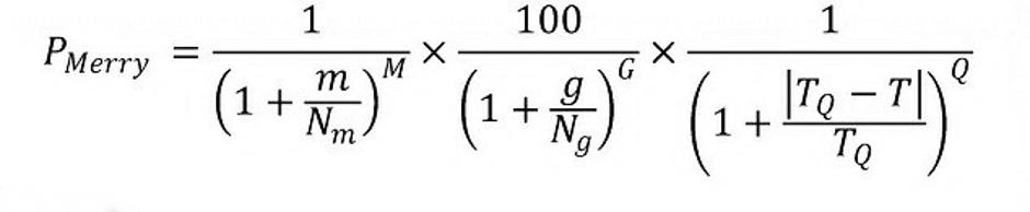
V formuli je več spremenljivk:

Pmerry je odstotek možnosti, da boste imeli lep božič.

Nm in Ng sta števili mobilnih telefonov in igralnih naprav v hiši na božični dan.

m in g sta števili mobilnih telefonov in igralnih naprav, ki so med božičem v uporabi.

T je čas v urah, ko je televizija prižgana še pred za Britance tradicionalnim večernim nagovorom kraljice.

Tq je ura, ko je na sporedu kraljičin nagovor.

Formulo sta razvila priznana matematika Tim Wren in Ian Shepard, avtorja knjige Izdelovalec sani. Zagotavljata, da je v druščini, kjer so zaradi posebnega dne pričakovanja visoka, vsi pa so verjetno fizično ali psihično zelo utrujeni, formula 99,9-odstotno zanesljiva.

Razen če ... se med druščino najde nekdo, ki bo šel s svojim pretiranim optimizmom, neslanimi šalami ali sramotenjem na živce vsem prisotnim. Takrat tudi ta formula ne pomaga. 

darilo Astrologija Magazin Najbolj primerno darilo za vsako astrološko znamenje

Psihologi se strinjajo, da je ideja o izogibanju elektronskim napravam na božič zelo dobra ideja, še posebej pri otrocih, ki postanejo sitni, če jih kdo moti med njihovo uporabo. To pa hitro pripelje do povišanih tonov in slabe volje. "Bistvene sestavine za lep božič so enakovredna doza ljubezni in naklonjenosti ter prijaznosti drug do drugega, s pogovorom, okusno hrano in sproščanjem," je za Daily Mail svetovala psihologinja Sue Stebbings. 

dezurni@zurnal24.si

Komentarjev 1
Napišite prvi komentar!

Za komentiranje je potrebna prijava/registracija. Če nimate uporabniškega računa, izberite enega od ponujenih načinov in se registrirajte v nekaj hitrih korakih.